Professor Yao’s group at the School of Physics, Beijing Institute of Technology has made important progress in the study of anomalous and sp
来源: 作者: 发布时间:2022-10-14
Recently, the group of Professors Yugui Yao and Wanxiang Feng from the School of Physics, Beijing Institute of Technology, made important progress in the study of magnetic topological semi-metals, discovering disorder- and topology-enhanced anomalous and spin transport properties. The work was published in Physical Review Letters 129, 097201 (2022).
Anomalous charge and spin transports have been a hot research topic in condensed matter physics since they are competitive ways to realize spintronic devices. Typical anomalous charge and spin transport phenomena include anomalous/spin Hall effect and anomalous/spin Nernst effect, which describe the physical phenomena of transverse charge/spin flow caused by a longitudinal electric field or a longitudinal temperature gradient in magnetic materials, respectively. Recent theoretical and experimental studies have shown that the large Berry curvature near the gapped nodal lines can enhance anomalous and spin transports in magnetic topological materials. However, two key scientific issues remain unclear: first, the intrinsic mechanism due to Berry curvature has been focused in the past, while the contribution of the extrinsic mechanism due to disorder is rarely known in magnetic topological materials; Secondly, the previously studied magnetic topological materials always have some topologically trivial bands near the Fermi level such that the topological electronic structure is not clearly related to the anomalous and spin transport properties.

FIG. 1. Nodal chain spin gapless semimetals (NCSGSM) and their fully spin-polarized currents. (a) The crystal structure of MF3 (M = Pt, Mn), and the view of (111) plane. The sketch of the Brillouin zone is shown in (b), and (c) shows spin-polarized band structure without SOC, where the inset is a close-up of the bands near the Z point. (d) Schematic illustration of fully spin-polarized Hall current induced by AHE (SHE) and ANE (SNE) in a NCSGSM (indicated with a hexagonal petal), when an electric field or a temperature gradient field is applied along the longitudinal direction.
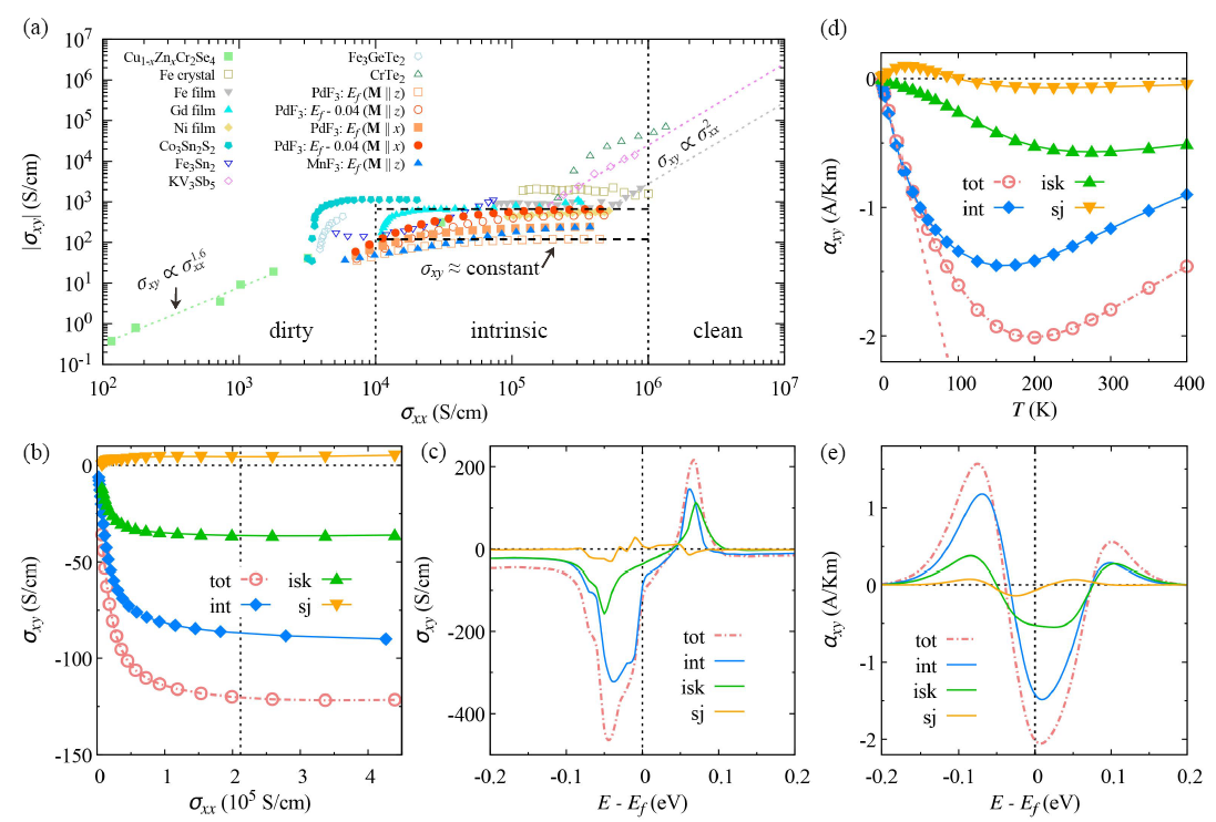
Yao's group from the School of Physics, Beijing Institute of Technology, has been devoted to the study of anomalous transport phenomena for a long time. In order to solve the above two problems, they studied the intrinsic and extrinsic anomalous and spin transport properties in a novel magnetic topological quantum material, spin gapless nodal-line semi-metal, which was proposed by the group in 2020 [Phys. Rev. Lett. 124, 016402 (2020)]. Taking MF3 (M = Pd, Mn) as an example, its electronic structure at the Fermi level shows an ultra-clean semi-half-metallic state, which can achieve ultra-high Fermi velocity and 100% spin polarization, providing an excellent material platform for exploring the contribution of topological electronic structure to anomalous and spin transport properties (Fig. 1). In addition, the group quantitatively calculated the contributions of intrinsic mechanisms due to Berry curvature and the extrinsic mechanisms due to disorder (including skew scattering and side jump mechanisms) to the anomalous and spin transport properties. The results show that the intrinsic mechanism plays a major role and the side jump mechanism is almost negligible, but the skew scattering mechanism can further improve the anomalous and spin transport signals (Fig. 2). The anomalous Hall conductivity and anomalous Nernst conductivity of MF3 (M = Pd, Mn) can reach up to 650 S/Cm and 2.8 A/Km, respectively, which is almost one order of magnitude larger than that of conventional ferromagnetic materials (0-1 A/Km). This work not only clearly establishes the connection between topological electronic structure and anomalous transport, but also deepens the understanding of the intrinsic and extrinsic mechanisms of anomalous transport in magnetic topological materials. Therefore, the research group proposed that the magnetic topological materials with excellent performance, such as spin gapless nodal-line semi-metals, can significantly improve the energy conversion efficiency, which provides a new material platform for realizing new topological spintronics devices with low energy consumption and high integration.

FIG. 2. Large spin-pure AHC and ANC. (a) AHC xy versus xx for PdF3. (b), (c) Disorder-related contributions to the AHC as a function of xx and energy, respectively. (d), (e) Disorder-related contributions to the ANC for various temperatures and energy.
The first affiliation of this work is the Beijing Institute of Technology. Professors Wanxiang Feng and Yugui Yao from the School of Physics, Beijing Institute of Technology, and Professor Yuriy Mokrousov from the Forschungszentrum Jülich and Johannes Gutenberg University Mainz, Germany, are the co-corresponding authors of this work. Xiaodong Zhou, a doctoral student from the School of Physics, Beijing Institute of Technology, is the first author; Postdoc Run-Wu Zhang and doctoral students Xiuxian Yang and Xiao-Ping Li are co-authors.
This work is supported by the National Key R&D Program of China, the National Natural Science Foundation of China, the Science & Technology Innovation Program of Beijing Institute of Technology, the Project Funded by China Postdoctoral Science Foundation, the Joint Sino-German Research Projects, and the Sino-German Mobility Programme.
Xiaodong Zhou, Run-Wu Zhang, Xiuxian Yang, Xiao-Ping Li, Wanxiang Feng*, Yuriy Mokrousov*, and Yugui Yao*, “Disorder- and Topology-Enhanced Fully Spin-Polarized Currents in Nodal Chain Spin-Gapless Semimetals”, Phys. Rev. Lett. 129, 097201 (2022). (*Corresponding authors)
